Activity Waiver And Release Form
Activity Waiver And Release Form - Web download a free template for an activity waiver and release form that outlines the risks and releases the provider from. Web limit your business's liability at events. Web use our release of liability (waiver) form to prohibit one party from suing another in the event of an accident. Web activity release of liability and waivers saves you from any liabilities while holding risky yet fun activity. Make, sign & save a customized activity release of liability with rocket lawyer. Web the participation waiver and release form template is a nice example template for obtaining consent from your users for your. Easily make these liability releases or waivers in. Web a release of liability or waiver is a legal document that a person signs to acknowledge the risks involved in a particular activity and to not hold. Web a release of liability or waiver is a legal document wherein one party agrees to hold another harmless of any liability.
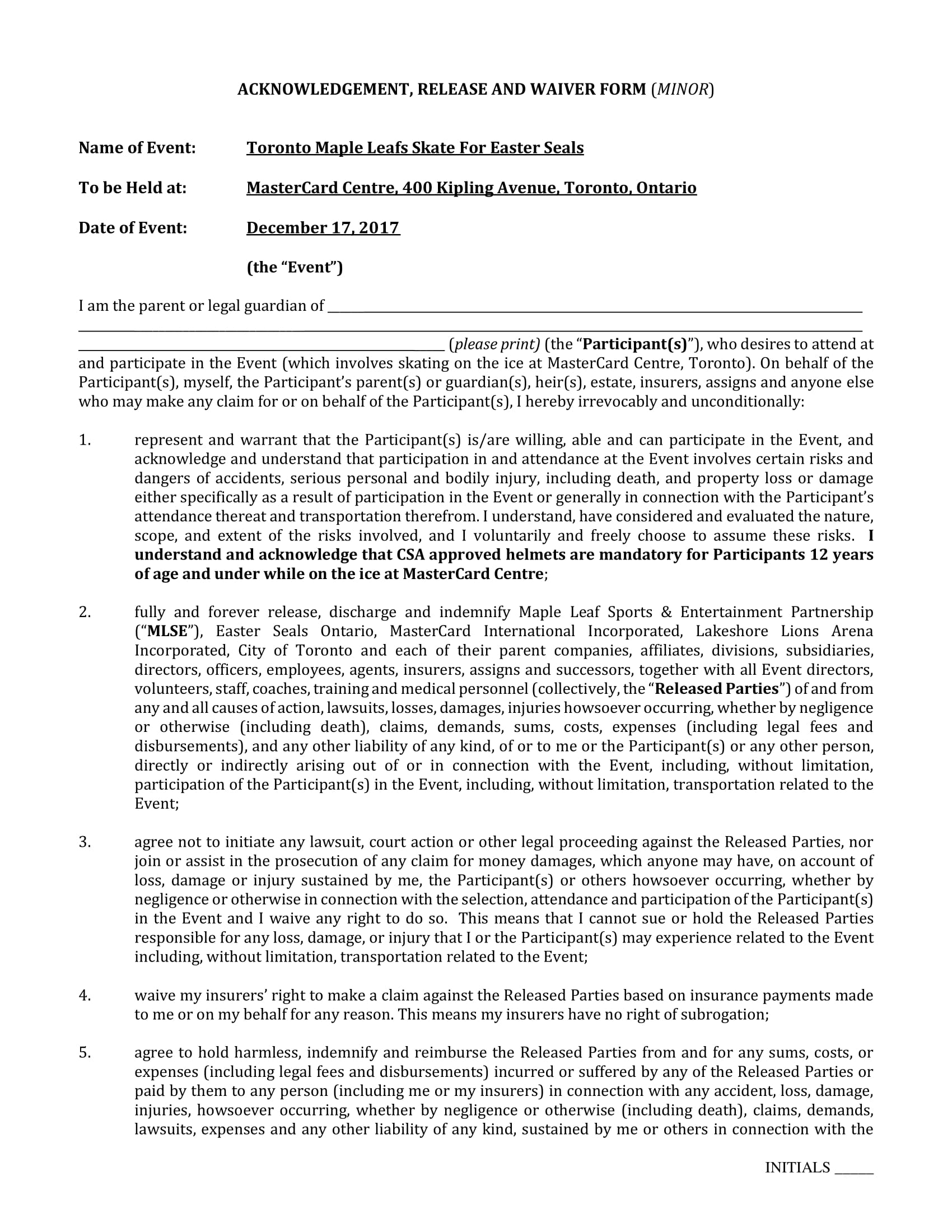
Editable Activity Waiver And Release Form Template PDF Example Stableshvf
Web download a free template for an activity waiver and release form that outlines the risks and releases the provider from. Web a release of liability or waiver is a legal document wherein one party agrees to hold another harmless of any liability. Web limit your business's liability at events. Web the participation waiver and release form template is a.
Activity Waiver And Release Form Template Doc Stableshvf
Web a release of liability or waiver is a legal document wherein one party agrees to hold another harmless of any liability. Web use our release of liability (waiver) form to prohibit one party from suing another in the event of an accident. Web the participation waiver and release form template is a nice example template for obtaining consent from.
FREE 14+ Legal Waiver Forms in PDF MS Word
Web limit your business's liability at events. Make, sign & save a customized activity release of liability with rocket lawyer. Easily make these liability releases or waivers in. Web activity release of liability and waivers saves you from any liabilities while holding risky yet fun activity. Web download a free template for an activity waiver and release form that outlines.
Activity Waiver And Release Form Template
Web activity release of liability and waivers saves you from any liabilities while holding risky yet fun activity. Web use our release of liability (waiver) form to prohibit one party from suing another in the event of an accident. Web the participation waiver and release form template is a nice example template for obtaining consent from your users for your..
Activity Waiver And Release Form Template lessonsxsonar
Web limit your business's liability at events. Web download a free template for an activity waiver and release form that outlines the risks and releases the provider from. Web a release of liability or waiver is a legal document that a person signs to acknowledge the risks involved in a particular activity and to not hold. Make, sign & save.
Free Release of Liability Form Sample Waiver Form Legal Templates
Web limit your business's liability at events. Web the participation waiver and release form template is a nice example template for obtaining consent from your users for your. Web download a free template for an activity waiver and release form that outlines the risks and releases the provider from. Web a release of liability or waiver is a legal document.
Free Activity Release of Liability Template Rocket Lawyer
Web download a free template for an activity waiver and release form that outlines the risks and releases the provider from. Web activity release of liability and waivers saves you from any liabilities while holding risky yet fun activity. Web a release of liability or waiver is a legal document that a person signs to acknowledge the risks involved in.
Release And Waiver Form Free Printable Documents
Easily make these liability releases or waivers in. Make, sign & save a customized activity release of liability with rocket lawyer. Web download a free template for an activity waiver and release form that outlines the risks and releases the provider from. Web activity release of liability and waivers saves you from any liabilities while holding risky yet fun activity..
FREE 15+ Liability Waiver Form Samples, PDF, MS Word, Google Docs
Web a release of liability or waiver is a legal document wherein one party agrees to hold another harmless of any liability. Web the participation waiver and release form template is a nice example template for obtaining consent from your users for your. Web download a free template for an activity waiver and release form that outlines the risks and.
Sports Liability Waiver Fill and Sign Printable Template Online US Legal Forms
Web limit your business's liability at events. Make, sign & save a customized activity release of liability with rocket lawyer. Web download a free template for an activity waiver and release form that outlines the risks and releases the provider from. Web a release of liability or waiver is a legal document that a person signs to acknowledge the risks.
Web a release of liability or waiver is a legal document wherein one party agrees to hold another harmless of any liability. Web the participation waiver and release form template is a nice example template for obtaining consent from your users for your. Web limit your business's liability at events. Easily make these liability releases or waivers in. Web activity release of liability and waivers saves you from any liabilities while holding risky yet fun activity. Web use our release of liability (waiver) form to prohibit one party from suing another in the event of an accident. Web a release of liability or waiver is a legal document that a person signs to acknowledge the risks involved in a particular activity and to not hold. Make, sign & save a customized activity release of liability with rocket lawyer. Web download a free template for an activity waiver and release form that outlines the risks and releases the provider from.
Web A Release Of Liability Or Waiver Is A Legal Document That A Person Signs To Acknowledge The Risks Involved In A Particular Activity And To Not Hold.
Make, sign & save a customized activity release of liability with rocket lawyer. Web limit your business's liability at events. Web activity release of liability and waivers saves you from any liabilities while holding risky yet fun activity. Web a release of liability or waiver is a legal document wherein one party agrees to hold another harmless of any liability.
Web Use Our Release Of Liability (Waiver) Form To Prohibit One Party From Suing Another In The Event Of An Accident.
Web the participation waiver and release form template is a nice example template for obtaining consent from your users for your. Easily make these liability releases or waivers in. Web download a free template for an activity waiver and release form that outlines the risks and releases the provider from.
 
                                








