Living Will Form Arkansas
Living Will Form Arkansas - Web an arkansas living will, also referred to as an advance directive, is a legal document to explain your desire for medical treatment. The form below will produce a personalized declaration relating to use of life. I intend for this to be a living will under the arkansas healthcare decisions act. Web suited for arkansas residents, this living will can be used in washington county, pulaski county, benton county, and in all other counties and. I understand that i can change my mind at. Web this is a legal document that states what kinds of treatment should be given to us when we can no longer make decisions or. Web arkansas living will form (advance directive) the arkansas declaration of living will form, or ‘advance directive’, is.
Fillable Online Arkansas Living Will And Durable Power Of Living Will Forms Free Printable
I intend for this to be a living will under the arkansas healthcare decisions act. Web arkansas living will form (advance directive) the arkansas declaration of living will form, or ‘advance directive’, is. Web this is a legal document that states what kinds of treatment should be given to us when we can no longer make decisions or. The form.
Arkansas Living Will Template in Word, Google Docs Download
Web an arkansas living will, also referred to as an advance directive, is a legal document to explain your desire for medical treatment. Web suited for arkansas residents, this living will can be used in washington county, pulaski county, benton county, and in all other counties and. I intend for this to be a living will under the arkansas healthcare.
Arkansas Declaration of Living Will Form Will Forms Will Forms
Web this is a legal document that states what kinds of treatment should be given to us when we can no longer make decisions or. I understand that i can change my mind at. Web arkansas living will form (advance directive) the arkansas declaration of living will form, or ‘advance directive’, is. Web suited for arkansas residents, this living will.
Free Arkansas Living Will and Durable Power of Attorney for Health Care Form PDF 55KB 4
Web arkansas living will form (advance directive) the arkansas declaration of living will form, or ‘advance directive’, is. I understand that i can change my mind at. The form below will produce a personalized declaration relating to use of life. I intend for this to be a living will under the arkansas healthcare decisions act. Web suited for arkansas residents,.
Arkansas Wills and Codicils Free Printable Legal Forms
I intend for this to be a living will under the arkansas healthcare decisions act. The form below will produce a personalized declaration relating to use of life. I understand that i can change my mind at. Web suited for arkansas residents, this living will can be used in washington county, pulaski county, benton county, and in all other counties.
Free Arkansas Living Will Form PDF
Web this is a legal document that states what kinds of treatment should be given to us when we can no longer make decisions or. Web suited for arkansas residents, this living will can be used in washington county, pulaski county, benton county, and in all other counties and. Web arkansas living will form (advance directive) the arkansas declaration of.
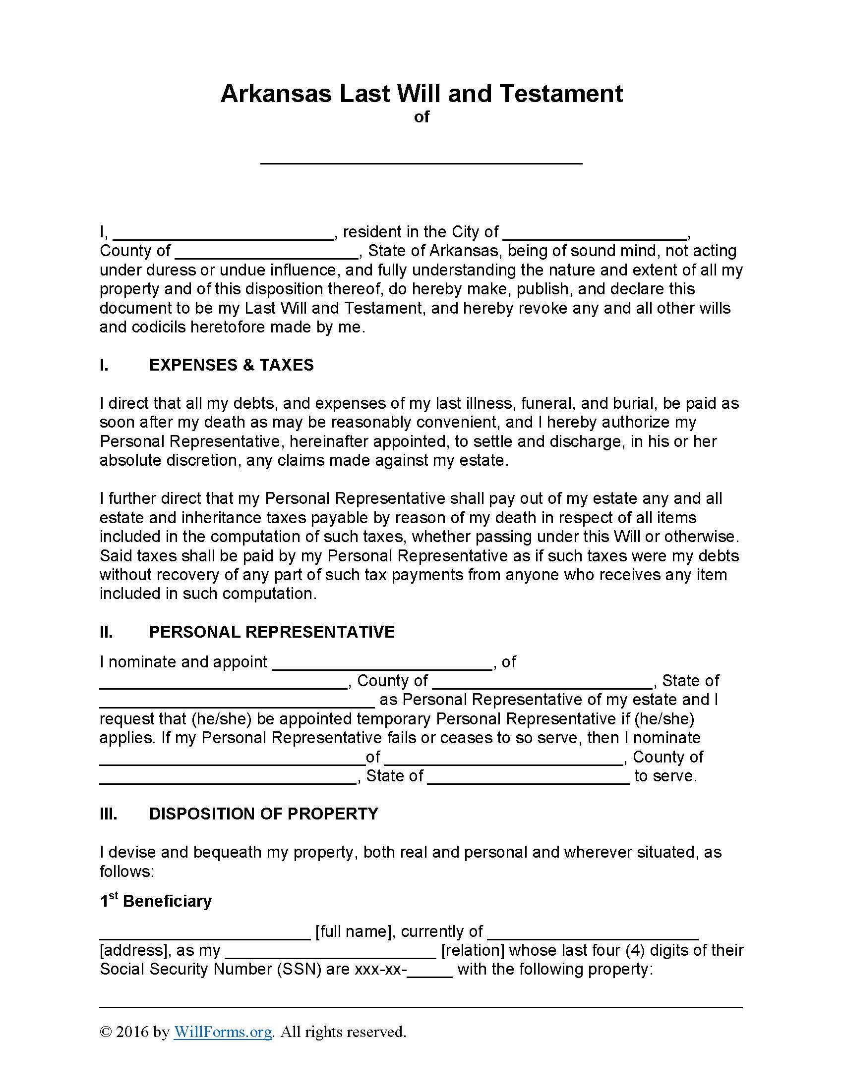
Arkansas Last Will and Testament Form Will Forms Will Forms
The form below will produce a personalized declaration relating to use of life. I intend for this to be a living will under the arkansas healthcare decisions act. I understand that i can change my mind at. Web an arkansas living will, also referred to as an advance directive, is a legal document to explain your desire for medical treatment..
Living Will Forms Free Printable Free Printable A To Z
Web suited for arkansas residents, this living will can be used in washington county, pulaski county, benton county, and in all other counties and. Web arkansas living will form (advance directive) the arkansas declaration of living will form, or ‘advance directive’, is. Web an arkansas living will, also referred to as an advance directive, is a legal document to explain.
Arkansas Living Will Form Free Printable Legal Forms
Web an arkansas living will, also referred to as an advance directive, is a legal document to explain your desire for medical treatment. The form below will produce a personalized declaration relating to use of life. I intend for this to be a living will under the arkansas healthcare decisions act. Web suited for arkansas residents, this living will can.
Free Arkansas Living Will Form Template PDF eForms
I understand that i can change my mind at. Web arkansas living will form (advance directive) the arkansas declaration of living will form, or ‘advance directive’, is. The form below will produce a personalized declaration relating to use of life. Web this is a legal document that states what kinds of treatment should be given to us when we can.
Web suited for arkansas residents, this living will can be used in washington county, pulaski county, benton county, and in all other counties and. Web an arkansas living will, also referred to as an advance directive, is a legal document to explain your desire for medical treatment. The form below will produce a personalized declaration relating to use of life. I understand that i can change my mind at. I intend for this to be a living will under the arkansas healthcare decisions act. Web this is a legal document that states what kinds of treatment should be given to us when we can no longer make decisions or. Web arkansas living will form (advance directive) the arkansas declaration of living will form, or ‘advance directive’, is.
Web Suited For Arkansas Residents, This Living Will Can Be Used In Washington County, Pulaski County, Benton County, And In All Other Counties And.
Web arkansas living will form (advance directive) the arkansas declaration of living will form, or ‘advance directive’, is. I intend for this to be a living will under the arkansas healthcare decisions act. The form below will produce a personalized declaration relating to use of life. Web this is a legal document that states what kinds of treatment should be given to us when we can no longer make decisions or.
Web An Arkansas Living Will, Also Referred To As An Advance Directive, Is A Legal Document To Explain Your Desire For Medical Treatment.
I understand that i can change my mind at.









