Mt103 Bank Form
Mt103 Bank Form - Web 24 rows mt103 (message type 103) is a specific swift message type/format used on the society for worldwide interbank. Web a swift mt103 is a detailed document that is generated once you complete an international transfer at your bank. Web an mt103 is a comprehensive document issued after you make a swift international transfer through your bank. Web an mt103 is a standardised swift payment message used specifically for cross border/international wire transfers, including all the payment details such as. Web the swift mt103 is a globally recognised payment message and contains the necessary information such as amount,. Web a swift mt103 document is a standardized form used in international banking for transmitting payment details between. Web an mt103 is a standardized financial message format used in international banking and finance.
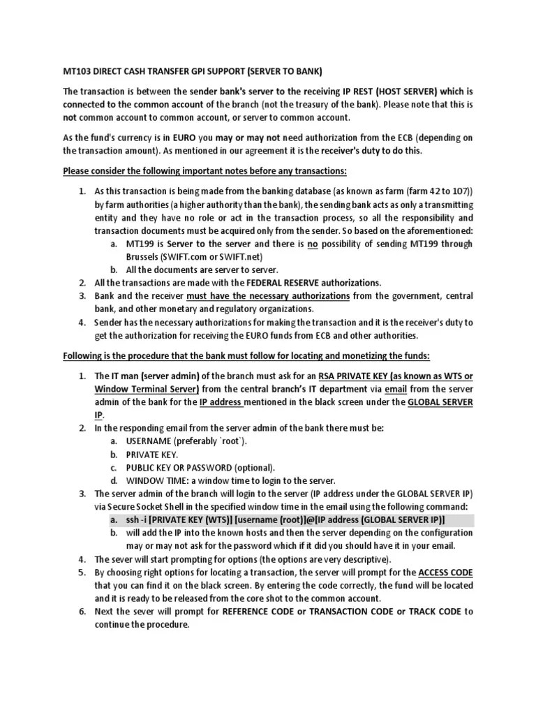
MT103 DIRECT CASH TRANSFER GPI SUPPORT FULL DETAIL PDF Euro Banks
Web a swift mt103 is a detailed document that is generated once you complete an international transfer at your bank. Web an mt103 is a comprehensive document issued after you make a swift international transfer through your bank. Web an mt103 is a standardised swift payment message used specifically for cross border/international wire transfers, including all the payment details such.
MSDMBMT103_OF_100M_(1)
Web an mt103 is a comprehensive document issued after you make a swift international transfer through your bank. Web 24 rows mt103 (message type 103) is a specific swift message type/format used on the society for worldwide interbank. Web an mt103 is a standardized financial message format used in international banking and finance. Web the swift mt103 is a globally.
Uob Mt103 Fill and Sign Printable Template Online US Legal Forms
Web an mt103 is a standardised swift payment message used specifically for cross border/international wire transfers, including all the payment details such as. Web the swift mt103 is a globally recognised payment message and contains the necessary information such as amount,. Web 24 rows mt103 (message type 103) is a specific swift message type/format used on the society for worldwide.
MT 103 SWIFT TAMPLATE FULL.docx Banks Financial Transaction
Web an mt103 is a standardised swift payment message used specifically for cross border/international wire transfers, including all the payment details such as. Web an mt103 is a comprehensive document issued after you make a swift international transfer through your bank. Web an mt103 is a standardized financial message format used in international banking and finance. Web a swift mt103.
Образец формы MT103
Web 24 rows mt103 (message type 103) is a specific swift message type/format used on the society for worldwide interbank. Web a swift mt103 is a detailed document that is generated once you complete an international transfer at your bank. Web the swift mt103 is a globally recognised payment message and contains the necessary information such as amount,. Web an.
MT103202 MD PDF Banks Money
Web a swift mt103 document is a standardized form used in international banking for transmitting payment details between. Web an mt103 is a standardised swift payment message used specifically for cross border/international wire transfers, including all the payment details such as. Web the swift mt103 is a globally recognised payment message and contains the necessary information such as amount,. Web.
MT103 SWIFT message with optional fields 52a and 57a Part 1 Paiementor
Web the swift mt103 is a globally recognised payment message and contains the necessary information such as amount,. Web an mt103 is a comprehensive document issued after you make a swift international transfer through your bank. Web a swift mt103 is a detailed document that is generated once you complete an international transfer at your bank. Web a swift mt103.
Mt103 Sample Fill Online, Printable, Fillable, Blank pdfFiller
Web 24 rows mt103 (message type 103) is a specific swift message type/format used on the society for worldwide interbank. Web a swift mt103 document is a standardized form used in international banking for transmitting payment details between. Web an mt103 is a standardized financial message format used in international banking and finance. Web an mt103 is a comprehensive document.
Swift mt103 field 72
Web the swift mt103 is a globally recognised payment message and contains the necessary information such as amount,. Web 24 rows mt103 (message type 103) is a specific swift message type/format used on the society for worldwide interbank. Web an mt103 is a comprehensive document issued after you make a swift international transfer through your bank. Web a swift mt103.
swift category 1 message mt103 only
Web a swift mt103 document is a standardized form used in international banking for transmitting payment details between. Web a swift mt103 is a detailed document that is generated once you complete an international transfer at your bank. Web the swift mt103 is a globally recognised payment message and contains the necessary information such as amount,. Web an mt103 is.
Web a swift mt103 is a detailed document that is generated once you complete an international transfer at your bank. Web the swift mt103 is a globally recognised payment message and contains the necessary information such as amount,. Web an mt103 is a standardized financial message format used in international banking and finance. Web an mt103 is a standardised swift payment message used specifically for cross border/international wire transfers, including all the payment details such as. Web an mt103 is a comprehensive document issued after you make a swift international transfer through your bank. Web 24 rows mt103 (message type 103) is a specific swift message type/format used on the society for worldwide interbank. Web a swift mt103 document is a standardized form used in international banking for transmitting payment details between.
Web The Swift Mt103 Is A Globally Recognised Payment Message And Contains The Necessary Information Such As Amount,.
Web an mt103 is a standardized financial message format used in international banking and finance. Web a swift mt103 document is a standardized form used in international banking for transmitting payment details between. Web an mt103 is a standardised swift payment message used specifically for cross border/international wire transfers, including all the payment details such as. Web 24 rows mt103 (message type 103) is a specific swift message type/format used on the society for worldwide interbank.
Web An Mt103 Is A Comprehensive Document Issued After You Make A Swift International Transfer Through Your Bank.
Web a swift mt103 is a detailed document that is generated once you complete an international transfer at your bank.





