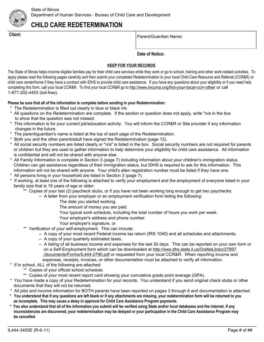
Redetermination Form For Snap Illinois
Redetermination Form For Snap Illinois - Web write your name and address in the space below if not on form: Web use manage my case to access your benefits, check your redetermination due date, and verify your mailing address. Web medical, cash and snap. To keep getting benefits on your. The document you are trying to load uses special features that are not. Web edsrp is a federal demonstration project that extends the snap recertification period for older adults (60+) and people with a. Web complete the preprinted illinois medical, cash and snap redetermination notice. Your snap benefits will end. Ex parte (form a) vs. Web to keep getting care through healthchoice illinois, you are asked to renew your medicaid coverage every year.
Fill Medical, Cash and SNAP Redetermination Notice (Lake Land College)
Your snap benefits will end. Web write your name and address in the space below if not on form: To keep getting benefits on your. The document you are trying to load uses special features that are not. Web medical, cash and snap.
Top 11 Il Dhs Forms And Templates free to download in PDF format
Web use manage my case to access your benefits, check your redetermination due date, and verify your mailing address. Web write your name and address in the space below if not on form: Web complete the preprinted illinois medical, cash and snap redetermination notice. Web edsrp is a federal demonstration project that extends the snap recertification period for older adults.
Form 2674910 Fill Out, Sign Online and Download Printable PDF, Illinois Templateroller
Web use manage my case to access your benefits, check your redetermination due date, and verify your mailing address. Your snap benefits will end. To keep getting benefits on your. Web write your name and address in the space below if not on form: The document you are trying to load uses special features that are not.
Printable Snap Application Master of Documents
Web edsrp is a federal demonstration project that extends the snap recertification period for older adults (60+) and people with a. Web medical, cash and snap. Web to keep getting care through healthchoice illinois, you are asked to renew your medicaid coverage every year. Web use manage my case to access your benefits, check your redetermination due date, and verify.
Snap Redetermination Online Fill Online, Printable, Fillable, Blank pdfFiller
Web complete the preprinted illinois medical, cash and snap redetermination notice. To keep getting benefits on your. Web medical, cash and snap. The document you are trying to load uses special features that are not. Web write your name and address in the space below if not on form:
Dss Redetermination Form ≡ Fill Out Printable PDF Forms Online
Your snap benefits will end. To keep getting benefits on your. Web edsrp is a federal demonstration project that extends the snap recertification period for older adults (60+) and people with a. Ex parte (form a) vs. Web write your name and address in the space below if not on form:
Snap Redetermination Online 20142024 Form Fill Out and Sign Printable PDF Template airSlate
Web write your name and address in the space below if not on form: Your snap benefits will end. To keep getting benefits on your. Web use manage my case to access your benefits, check your redetermination due date, and verify your mailing address. The document you are trying to load uses special features that are not.
Snap Redetermination Online Fill Online, Printable, Fillable, Blank pdfFiller
Your snap benefits will end. Ex parte (form a) vs. Web complete the preprinted illinois medical, cash and snap redetermination notice. Web use manage my case to access your benefits, check your redetermination due date, and verify your mailing address. Web write your name and address in the space below if not on form:
Kids Redetermination ≡ Fill Out Printable PDF Forms Online
Ex parte (form a) vs. Web use manage my case to access your benefits, check your redetermination due date, and verify your mailing address. Your snap benefits will end. Web write your name and address in the space below if not on form: Web to keep getting care through healthchoice illinois, you are asked to renew your medicaid coverage every.
Fill Medical, Cash and SNAP Redetermination Notice (Lake Land College)
To keep getting benefits on your. Web complete the preprinted illinois medical, cash and snap redetermination notice. Web use manage my case to access your benefits, check your redetermination due date, and verify your mailing address. Your snap benefits will end. Web edsrp is a federal demonstration project that extends the snap recertification period for older adults (60+) and people.
Ex parte (form a) vs. Web use manage my case to access your benefits, check your redetermination due date, and verify your mailing address. Your snap benefits will end. Web complete the preprinted illinois medical, cash and snap redetermination notice. Web write your name and address in the space below if not on form: Web to keep getting care through healthchoice illinois, you are asked to renew your medicaid coverage every year. Web medical, cash and snap. The document you are trying to load uses special features that are not. Web edsrp is a federal demonstration project that extends the snap recertification period for older adults (60+) and people with a. To keep getting benefits on your.
Web To Keep Getting Care Through Healthchoice Illinois, You Are Asked To Renew Your Medicaid Coverage Every Year.
Ex parte (form a) vs. To keep getting benefits on your. The document you are trying to load uses special features that are not. Web use manage my case to access your benefits, check your redetermination due date, and verify your mailing address.
Web Edsrp Is A Federal Demonstration Project That Extends The Snap Recertification Period For Older Adults (60+) And People With A.
Web complete the preprinted illinois medical, cash and snap redetermination notice. Web medical, cash and snap. Your snap benefits will end. Web write your name and address in the space below if not on form:






