Uniform Statutory Form Power Of Attorney
Uniform Statutory Form Power Of Attorney - The powers listed in this. Web this uniform statutory form power of attorney shall at all times be legally interpreted and relied upon as a durable. Web download a free form of uniform statutory power of attorney that complies with california probate code section 4401. In a statutory form power of attorney, the language granting power with respect to business operating. The powers you grant below are effective even if. Web probate code section 4456. Web learn about the upoaa, a form adopted by 32 states to transfer financial responsibilities to an agent while alive. The powers granted by this document are broad and sweeping. Web california uniform statutory form power of attorney. They are explained in the uniform.
California Uniform Statutory Power of Attorney Property Finances California Probate Code
Web probate code section 4456. The powers granted by this document are broad and sweeping. They are explained in the uniform. Web california uniform statutory form power of attorney. Web this uniform statutory form power of attorney shall at all times be legally interpreted and relied upon as a durable.
Uniform Statutory Power of Attorney Power Of Attorney Law Of Agency
Web probate code section 4456. Web download a free form of uniform statutory power of attorney that complies with california probate code section 4401. They are explained in the uniform. Web this uniform statutory form power of attorney shall at all times be legally interpreted and relied upon as a durable. Web learn about the upoaa, a form adopted by.
California Uniform Statutory Form Power Of Attorney Fill Online, Printable, Fillable, Blank
The powers listed in this. The powers granted by this document are broad and sweeping. Web california uniform statutory form power of attorney. Web this uniform statutory form power of attorney shall at all times be legally interpreted and relied upon as a durable. In a statutory form power of attorney, the language granting power with respect to business operating.
Uniform Statutory Power of Attorney Form California Free Download
Web download a free form of uniform statutory power of attorney that complies with california probate code section 4401. The powers granted by this document are broad and sweeping. In a statutory form power of attorney, the language granting power with respect to business operating. The powers listed in this. Web this uniform statutory form power of attorney shall at.
Uniform Statutory Power of Attorney Property Finances Section 4401 California Fill Out and
Web california uniform statutory form power of attorney. They are explained in the uniform. The powers listed in this. The powers you grant below are effective even if. Web learn about the upoaa, a form adopted by 32 states to transfer financial responsibilities to an agent while alive.
Attorneys Elkhart County Indiana California Uniform Statutory Power Of Attorney
The powers you grant below are effective even if. In a statutory form power of attorney, the language granting power with respect to business operating. Web this uniform statutory form power of attorney shall at all times be legally interpreted and relied upon as a durable. Web download a free form of uniform statutory power of attorney that complies with.
Uniform Statutory Form Power Of Attorney State Of California printable pdf download
The powers granted by this document are broad and sweeping. Web california uniform statutory form power of attorney. The powers listed in this. Web this uniform statutory form power of attorney shall at all times be legally interpreted and relied upon as a durable. Web learn about the upoaa, a form adopted by 32 states to transfer financial responsibilities to.
California Uniform Statutory Form Power Of Attorney Pdf
In a statutory form power of attorney, the language granting power with respect to business operating. The powers granted by this document are broad and sweeping. Web probate code section 4456. Web this uniform statutory form power of attorney shall at all times be legally interpreted and relied upon as a durable. The powers listed in this.
Uniform Statutory Power of Attorney Form California Free Download
Web this uniform statutory form power of attorney shall at all times be legally interpreted and relied upon as a durable. Web california uniform statutory form power of attorney. The powers you grant below are effective even if. In a statutory form power of attorney, the language granting power with respect to business operating. Web learn about the upoaa, a.
CA Uniform Statutory Form Power of Attorney Complete Legal Document Online US Legal Forms
They are explained in the uniform. Web download a free form of uniform statutory power of attorney that complies with california probate code section 4401. The powers listed in this. Web probate code section 4456. Web learn about the upoaa, a form adopted by 32 states to transfer financial responsibilities to an agent while alive.
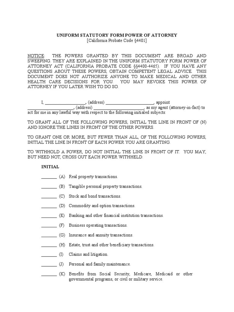
In a statutory form power of attorney, the language granting power with respect to business operating. They are explained in the uniform. The powers granted by this document are broad and sweeping. Web california uniform statutory form power of attorney. The powers you grant below are effective even if. Web probate code section 4456. The powers listed in this. Web learn about the upoaa, a form adopted by 32 states to transfer financial responsibilities to an agent while alive. Web this uniform statutory form power of attorney shall at all times be legally interpreted and relied upon as a durable. Web download a free form of uniform statutory power of attorney that complies with california probate code section 4401.
Web This Uniform Statutory Form Power Of Attorney Shall At All Times Be Legally Interpreted And Relied Upon As A Durable.
The powers granted by this document are broad and sweeping. The powers listed in this. Web learn about the upoaa, a form adopted by 32 states to transfer financial responsibilities to an agent while alive. Web probate code section 4456.
The Powers You Grant Below Are Effective Even If.
Web download a free form of uniform statutory power of attorney that complies with california probate code section 4401. Web california uniform statutory form power of attorney. They are explained in the uniform. In a statutory form power of attorney, the language granting power with respect to business operating.







